The Museum of HP Calculators


This Hewlett-Packard advertisement, originally published in Scientific American, is used by permission. If errors crept in during the scanning process, please notify Dave Hicks

Some things are changing for the better.

Many people know us as an instrument manufacturer: we make more than 2,000 products for measurement, test and analysis. Others know us as a computer company: more than 10,000 own our programmable calculators and computers. We prefer to think that our business is to serve measurement, analysis and computation needs . . . in science, industry, medicine and education. That is the rationale behind every new instrument, computer or system that we tell you about in these ads. This month:

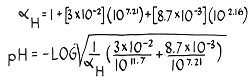
The HP-35 Shirt Pocket Calculator lets you make complex calculations like this one approximately five times faster than with your slide rule ... with 10 place accuracy ... and without a single scratch note!

*Chemists will recognize this as a calculation of the pH of a buffer solution for the mixture of Na2 HPO4 @0.03 M/l and Na H2 PO4 @8.7x 10-3 3 M/l.

The new HP-35 Pocket Computer: a boon for scientists, engineers, or almost anyone.

When you first hear about it, it sounds like an electronic slide rule, the kind that's been available only in science fiction. Although it's only 3 by 6 inches and weighs 9 ounces, with rechargeable battery, it computes transcendental functions with a single keystroke, in less than a second. It calculates positive and negative numbers in floating point or scientific notation, automatically keeps track of the decimal throughout its 200-decade range, and displays answers that are accurate to the 10th significant digit.

And when you use it, you soon realize that it is more like a computer than a super slide rule. The secret is its 4-register operational stack. Solidly based on computer theory, it holds intermediate answers in a higher register and automatically brings them back when they are required for further calculations. The calculator also has a fifth register that lets you store any number and recall it to the working register at the touch of a key.

The power of our little wonder is illustrated in the calculation shown above. The HP-35 solves this problem in about 60 seconds and displays the answer to 10 significant digits, without a single scratch note.

The new HP-35 Pocket Calculator contains the equivalent of 30,000 transistors in specially designed MOS/LSI circuits. Yet it costs just $395 (domestic US price only). You may have to wait a while because demand has been so great. But if your people need this kind of computation power, it's worth the wait. Just use the coupon and we'll send full information to you.

Go back to the HP Advertisements
Go back to the main exhibit hall